PS-PEO-cleavable 聚苯乙烯-聚环氧乙烷 酸裂解两亲性二嵌段共聚物 Poly(styrene)-b-poly(ethylene oxide), acid-cleavable
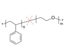
PS-PEO-cleavable 聚苯氯乙烯-聚改性环氧树脂乙烷 酸裂解两亲性二嵌段共聚物 Poly(styrene)-b-poly(ethylene oxide), acid-cleavable 中文版种类:聚苯氯乙烯-聚环氧防锈漆乙烷英文怎么说缩略词:PS-PEO-cleavable英文版简称:Poly(styrene)-b-poly(ethylene oxide), acid-cleavable英语翻译俗称:PS-PEG-cleavableCAS号:n/a; PEO: 25322-68-3; PS: 9003-53-6分子结构式:(C8H8)n (C2H4O)m主链设计:二嵌段共聚物主要是因素:PEO/PEG亲疏水溶性:两亲性产品设备方式:酸裂解嵌段共聚物荧光/闪光:无外部/行态:固态硬盘粉化或粒子(以实际情况外部是以)饱和度:≤ 100%成分式:



pg电子娱乐游戏app
微信公众号
官方微信