PEO-PS-cleavable 聚环氧乙烷-聚苯乙烯 酸裂解两亲性二嵌段共聚物 Poly(ethylene oxide)-b-poly(styrene), acid-cleavable
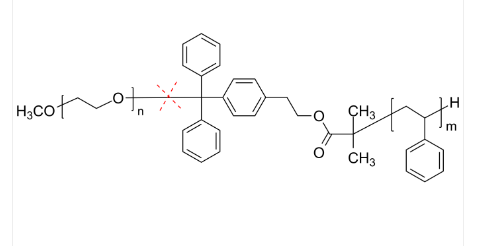
PEO-PS-cleavable 聚氯化橡胶漆乙烷-聚苯丁二烯 酸裂解两亲性二嵌段共聚物 Poly(ethylene oxide)-b-poly(styrene), acid-cleavable 中文翻译分类:聚改性环氧树脂乙烷-聚苯乙稀英文字母全称:PEO-PS-cleavable用英文怎么说称怎么读:Poly(ethylene oxide)-b-poly(styrene), acid-cleavable英文字母別称:PEG-PS-cleavableCAS号:n/a; PEO: 25322-68-3; PS: 9003-53-6; mPEG: 9004-74-4原子式:[C2H4O]n [C8H8]m主链框架:二嵌段共聚物大部分化学成分:PS亲疏水性聚氨酯:两亲性产品设备的类型:酸裂解嵌段共聚物荧光/亮光:无外光专利/特性:固态硬盘粉末状原材料或颗粒剂(以具体外光专利时以)溶解度:≤ 100%设计式:



pg电子娱乐游戏app
微信公众号
官方微信