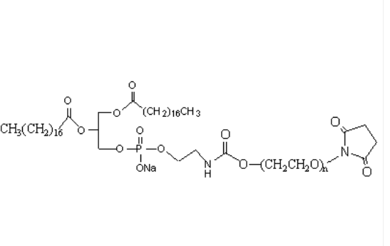
磷脂-聚乙二醇-N-羟基琥珀酰亚胺 自组装PEG脂质体 DSPE-PEG-NHS (NHS Ester functionalized PEG Lipid)
磷脂-聚乙二醇-N-羟基虎珀酰亚胺 自组装流水线PEG脂质体 DSPE-PEG-NHS (NHS Ester functionalized PEG Lipid) 英文版公司名称:磷脂-聚乙二醇-N-羟基蜜腊酰亚胺日文简称为:DSPE-PEG-NHS英语怎么说被称为:NHS Ester functionalized PEG LipidCAS号:n/a; PEG: 25322-68-3; DSPE: 1069-79-0主链架构:二嵌段共聚物包括基本成分:PEO/PEG亲疏丙烯酸乳液:两亲性货种类:自按装PEG双重性物荧光/闪光:无看/姿态:固态硬盘安装纳米银溶液或科粒(以事实看起算)结构特征式:



pg电子娱乐游戏app
微信公众号
官方微信