磷脂-聚乙二醇-荧光素 荧光标记自组装PEG脂质体 DSPE-PEG-FITC (Fluorescein labeled PEG Lipid)
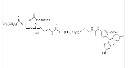
磷脂-聚乙二醇-荧光素 荧光标出自装配PEG脂质体 DSPE-PEG-FITC (Fluorescein labeled PEG Lipid) 中文名号:磷脂-聚乙二醇-荧光素用英语缩略词:DSPE-PEG-FITC国外英文总称:Fluorescent Fluorescein labeled PEG LipidCAS号:n/a; PEG: 25322-68-3; DSPE: 1069-79-0主链结构的:二嵌段共聚物核心部分:PEO/PEG亲疏水:两亲性商品项型:荧光标志好的成绩子荧光/带光:FITC外形/行态:固态硬盘安装粉未或粉末(以实际上的外形起算)形式式:



pg电子娱乐游戏app
微信公众号
官方微信