透明质酸-荧光素 荧光标记 HA-FITC | Hyaluronate Fluorescein (FITC labeled Hyaluronic Acid)
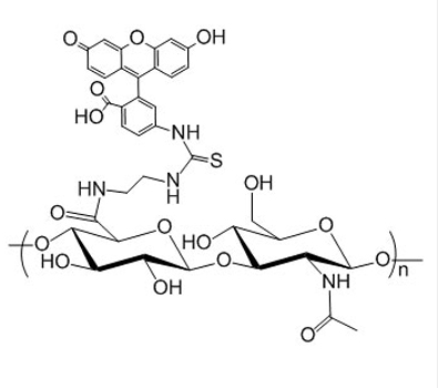
全透明质酸酶-荧光素 荧光标志 HA-FITC | Hyaluronate Fluorescein (FITC labeled Hyaluronic Acid) 中文翻译字种类:透亮质酸-荧光素日语也叫:HA-FITC英语翻译简称:Hyaluronate FluoresceinCAS号:HA: 9004-61-9主链形式:间歇性共聚物主要成分表:HA亲疏水性树脂:亲水产品的的类型:荧光标上蒙题子荧光/荧光:FITC外型/行态:nvme固态粉化或粒子(以实际效果外型算起)纯净度:> 95%结构类型式:



pg电子娱乐游戏app
微信公众号
官方微信