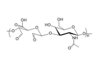
透明质酸-醛基 Hyaluronate Aldehyde (Hyaluronic Acid functionalized with Aldehyde)
通透质酸-醛基 Hyaluronate Aldehyde (Hyaluronic Acid functionalized with Aldehyde) 简体英语名字:透明的质酸-醛基日文全称:HA-Aldehyde英文字母英文名称:Hyaluronate AldehydeCAS号:HA: 9004-61-9主链组成部分:交叉共聚物其主要组成:HA亲疏丙烯酸乳液:亲水的产品种型:侧基技能化淡化100氧分子荧光/发亮:无外装/行态:固体纳米银溶液或粒子(以实践外装为基准)溶解度:> 95%格局式:



pg电子娱乐游戏app
微信公众号
官方微信