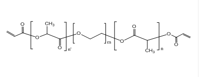
AC-PLA-PEG-PLA-AC 生物降解ABA三嵌段共聚物 Acrylate-PLA-PEG-PLA-Acrylate (functionalized with acrylate) 末端双键
AC-PLA-PEG-PLA-AC 菌物吸附ABA三嵌段共聚物 Acrylate-PLA-PEG-PLA-Acrylate (functionalized with acrylate) 未端双键 汉语种类:丙稀酸酯-聚乳酸-聚乙二醇-聚乳酸-丙稀酸酯英文音标英文缩写:AC-PLA-PEG-PLA-AC国外英文全程:Acrylate-PLA-PEG-PLA-AcrylateCAS号:n/a; PEG: 25322-68-3; Poly(L-lactide): 26161-42-2; Poly(D-lactide): 106989-11-1主链结构设计:ABA三嵌段共聚物主耍化学物质:PLA亲疏水:两亲性产品的款式:端基模块化装饰满原子荧光/荧光:无外在/特性:nvme固态咖啡豆或粒子(以事实上外在准确)组成部分式:



pg电子娱乐游戏app
微信公众号
官方微信