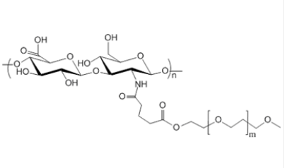
透明质酸-聚乙二醇 接枝共聚物 HA-PEG PEG化透明质酸 PEGylated Hyaluronic Acid (Hyaluronate Polyethylene glycol conjugate
透亮质酸-聚乙二醇 接枝共聚物 HA-PEG PEG化透亮质酸 PEGylated Hyaluronic Acid (Hyaluronate Polyethylene glycol conjugate 中文字幕明称:PEG化半玻尿酸因为代称:HA-PEG日语全名是:PEGylated Hyaluronic AcidCAS号:PEG: 25322-68-3; HA: 9004-61-9主链构成:接枝共聚物主要化学成分:HA亲疏水:亲水企业产种型号:侧基技能化体现提团伙荧光/发光字:无颜色设计/基本特征:固态硬盘粉化或粒状(以实际情况颜色设计应写)含量:> 95%框架式:



pg电子娱乐游戏app
微信公众号
官方微信