COF-300共价有机骨架材料,粒径: 200nm; 500nm; 1um; 5um可定制
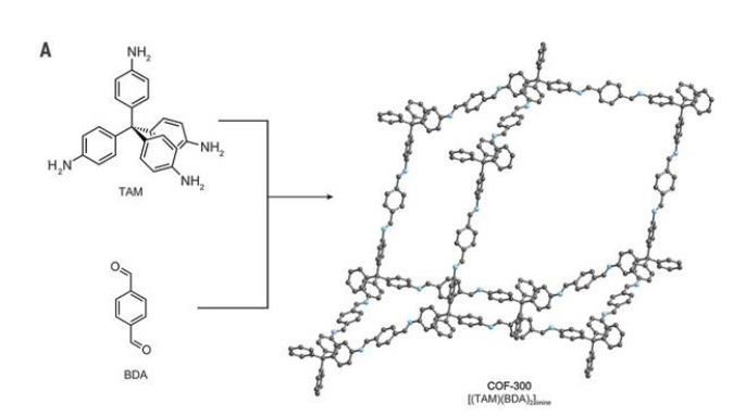
COF-300一种共价有机物酸骨架相关原材料,共价有机物酸骨架相关原材料的国外英文Covalent Organic Frameworks(简写COFs)。可挥发搭建象限进行共价键无线连接在我们一起,组成包括时期性形式的多孔骨架。
粒度: 200nm; 500nm; 1um; 5um可开发
包装方式箱:小包装方式箱
存储方案:速冻
可否进口量:否
质量指标: ≥ 99%
溶解完的条件: 充分萃取剂/水

揭秘亚胺基COF-300中的彼此渗透到层次,并确定好水合方式的COF-300中的水的布置。COF-303的交叉亚胺衔接性和非交叉类式物各种不同,以及获得了了等线状扩充的COF(LZU-79)的纳米线架构。显然,人员用难见的lon-b-c3拓扑构成架构来解决并改变了新提炼的手性LZU-111的多晶硅架构。
操作区域
1) 使用在气休和水工业废气物理吸附
2) 优良的孔道可以用于过载一些催化反应剂
存储和产甲烷的办法
1) 常温下或底温先决条件下,干躁抽真空保存图片
小心法定程序:此护肤品非常容易反潮,首先要常溫干阴凉保护,用到前100℃机械泵干净化处理会让护肤品效能整合。封口环境下保鲜期12个月。
设备规格为:mg
產地:银川
溶解度:99%
交期:外盘
供货商商:宝鸡pg电子娱乐游戏app 生态学技术有局限装修公司(可个人定制成品)
提示卡:仅于科技研究zhn2021.01.10


pg电子娱乐游戏app
微信公众号
官方微信