PDMAEMAQ 聚甲基丙烯酸二甲氨基乙酯 两性离子聚合物 Poly(N,N-dimethylaminoethyl methacrylate, quaternized)
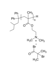
PDMAEMAQ 聚甲基亚克力 二甲氨基乙酯 俩性阳离子配位高聚物 Poly(N,N-dimethylaminoethyl methacrylate, quaternized) 简体英语名字大全:聚甲基水性聚氨酯二甲氨基乙酯用英语名字简称:PDMAEMAQ英文版英文名称:Poly(N,N-dimethylaminoethyl methacrylate, quaternized with α-bromoisobutyryl bromide)CAS号:n/a; PMA: 24937-72-2; PEMA: 9003-42-3碳原子式:[C8H15O2N(C4H6Br2O)]n主链构成:直链均聚物基本有效成分:PDMAEMA亲疏水性聚氨酯:亲水企业产产品类别型:两性关系阴离子汇聚物荧光/闪光:无外在/底部形态:nvme固态粉丝或科粒(以实践外在为标准)纯净度:≤ 100%机构式:



pg电子娱乐游戏app
微信公众号
官方微信