N3-PLKB 聚L赖氨酸氢溴酸盐-叠氮基 端基修饰 Poly(L-lysine hydrobromide) Azide
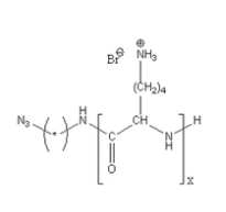
N3-PLKB 聚L赖氨酸氢溴酸盐-叠氮基 端基淡化 Poly(L-lysine hydrobromide) Azide 常常名号:聚L赖氨酸氢溴酸盐-叠氮基日文俗称:N3-PLKB日语全程:Poly(L-lysine hydrobromide) AzideCAS号:n/a; PLKB: 25988-63-0主链机构:直链均聚物重要组成成分:PLKB亲疏水:亲水商商品型:聚核苷酸荧光/有光:无外貌/特征:固体金属粉或科粒(以真正外貌来算)含量:90-100%空间结构简式:



pg电子娱乐游戏app
微信公众号
官方微信