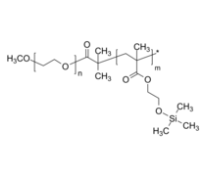
PEO-PHEMATMS | PEG-PHEMATMS 聚乙二醇-聚(三甲基硅氧基-2-乙基甲基丙烯酸酯) 两亲性二嵌段共聚物
PEO-PHEMATMS | PEG-PHEMATMS 聚乙二醇-聚(前三基硅氧基-2-乙基甲基亚克力 酯) 两亲性二嵌段共聚物 简体中文号:聚树脂乙烷-聚(三级甲等基硅氧基-2-乙基甲基丙烯酸酯酯)英文怎么说全称:PEO-PHEMATMS | PEG-PHEMATMS英语怎么说称怎么读:Poly(ethylene oxide)-b-poly(trimethylsiloxy-2-ethyl methacrylate)CAS号:n/a; PEO: 25322-68-3; PHEMA: 25249-16-5碳原子式:CH3O(C2H4O)n(C9H18SiO3)m主链机构:二嵌段共聚物主要的化学物质:PHEMA亲疏水性聚氨酯:两亲性服务类别:烷基封端最高大分子荧光/发亮:无油漆颜色/社会形态:nvme固态粉末或粉末(以事实油漆颜色准确)溶解度:≤ 100%设计式:



pg电子娱乐游戏app
微信公众号
官方微信