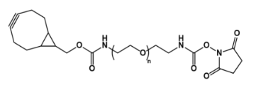
科研试剂BCN-PEG-NHS 环丙烷环辛炔聚乙二醇活性酯 点击化学PEG活性酯的溶解度
双环[6,1,0]壬炔 (BCN) (环丙烷环辛炔)能依据无铜的点击进入催化与叠氮化物标出的氧团伙或动物氧团伙体现自动生成相对稳定的三氮唑相连。
产品名称 BCN-PEG-NHS 环丙烷环辛炔聚乙二醇活性酯
中文名称 环丙烷环辛炔聚乙二醇活性酯
英文名称 BCN-PEG-NHS
分子量 1000
CAS N/A
溶解度 DMSO,CHCl3,甲醇
存储条件 -20°冷冻
保存时间 一年
其它分子量 2000 3400 5000 10000

BCN-PEG-Rhodamine B/RB 环丙烷环辛炔-聚乙二醇-罗丹明B
BCN-PEG-Indocyanine green/ICG 环丙烷环辛炔-聚乙二醇-吲哚菁绿
BCN-PEG-Comarin 环丙烷环辛炔-聚乙二醇-香豆素
BCN-PEG-NIR-II dyes 环丙烷环辛炔-聚乙二醇-近红外二区染料
BCN-PEG-NIR-dyes 环丙烷环辛炔-聚乙二醇-近红外染料
BCN-PEG-Bodipy/BDP 环丙烷环辛炔-聚乙二醇-氟化硼二吡咯
BCN-PEG-IR825 环丙烷环辛炔-聚乙二醇-IR825荧光染料
BCN-PEG-HMME 环丙烷环辛炔-聚乙二醇-血卟啉单甲醚
贴心系统提示:为了让赚取企业软件便用功效,的材料应永远在非常缺水标准下做到温度,尽量不要一般结冻和查封。为确保安全生产企业软件的稳定的性,请需要注意在恒温恒湿非常缺水之后这样才能打開包装方式移取!舒心系统提示:仅用作科学研究!!!企业:北京pg电子娱乐游戏app 生物工程科技信息有限集团集团

pg电子娱乐游戏app
微信公众号
官方微信