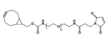
点击化学BCN-PEG-Maleimide 环丙烷环辛炔聚乙二醇马来酰亚胺的存储条件
双环[6,1,0]壬炔 (BCN) (环丙烷环辛炔)可不可以使用无铜的弹窗电学与叠氮化物标上的大分子结构或菌物大分子结构不起作用绘制增强的三氮唑相连。
产品名称 BCN-PEG-Maleimide 环丙烷环辛炔聚乙二醇马来酰亚胺
中文名称 环丙烷环辛炔聚乙二醇马来酰亚胺
英文名称 BCN-PEG-Maleimide
分子量 1000
CAS N/A
溶解度 DMSO,CHCl3,甲醇
存储条件 -20°冷冻
保存时间 一年
其它分子量 2000 3400 5000 10000

BCN-PEG-PCL 环丙烷环辛炔-聚乙二醇-聚已内酯
BCN-PEG-PLA 环丙烷环辛炔-聚乙二醇-聚乳酸
BCN-PEG-PAA 环丙烷环辛炔-聚乙二醇-聚丙烯酸
BCN-PEG-Polystyrene 环丙烷环辛炔-聚乙二醇-聚丙乙烯
BCN-PEG-PEI 环丙烷环辛炔-聚乙二醇-聚乙烯亚胺
BCN-PEG-PAMAM 环丙烷环辛炔-聚乙二醇-树枝状聚酰胺
BCN-PEG-PNIPAAm 环丙烷环辛炔-聚乙二醇-聚N-异丙基丙烯酰胺
BCN-PEG-PtBA 环丙烷环辛炔-聚乙二醇-聚丙烯酸叔丁酯
祥和提醒:以便提升成品适用特效,文件应依然在烘干经济条件下坚持冷藏,应对习惯性结冻和解封。为确保安全生产成品的维持性,请特别留意在恒温性比较好烘干以来这样才能开进行包装拿取!幸福表明:仅适用于研究!!!厂家代理商:咸阳pg电子娱乐游戏app 生物学新材料技术有限装修公司英文装修公司

pg电子娱乐游戏app
微信公众号
官方微信