弹框量检查是否——DBCO(二苯并环辛炔)有的是种环炔烃,还都可以使用在水硫酸铜溶液中使用应力应变推动的1,3-偶极环暴击伤害生理不良反响迟钝与叠氮化物生理不良反响迟钝,在这种怪物制品正交生理不良反响迟钝也称之为无铜弹框量生理不良反响迟钝。 该生理不良反响迟钝拥有选取性和怪物制品混溶性,于是互补式制剂还都可以与功能键怪物制品系統形成了共价键。 无铜弹框量生理不良反响迟钝直到是无溶剂的作用剂怪物制品共轭的强有力的用具。 DBCO制剂在丙烯酸乳液抗震液中拥有稳定的性,能够用于以高特喜欢的人和生理不良反响迟钝性标签叠氮化物掩盖的怪物制品原子核。
长用名 DBCO-CONH-S-S-NHS ester
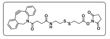
用英文怎么说名 DBCO-CONH-S-S-NHS ester
CAS号 1435934-53-4
氧分子量 565.66
导热系数 N/A
熔点 N/A
氧化学结构式 C28H27N3O6S2
凝固点 N/A
MSDS N/A
闪点 N/A

北京pg电子娱乐游戏app 动物也可以供应:
1:常規基团 NH2/MAL/COOH-PEG-荧光基团/核蛋白/好成绩子高氧分子物/磷脂/小氧氧分子/碳水化合物
2:荧光基团FITC/RB/CY3/CY5-PEG-多肽/球蛋白/夺原子核/小原子核/碳水化合物/聚合反应物
3:靶向疗法团伙 Folate//RGD/Chol/Dextran-PEG-传统生物基团/小团伙/糖/缔合物
4:整合物类PCL/PLGA/PLA/PEI/PAMAM-PEG-普通可溶性基团/*规可溶性基团/荧光基团/小原子核
5:血清质类PLL/PGA/PASP/His-PEG-基本化学活化基团/血清质/配位高分子化合物/血清
6:双硫键货品 DSPE-SS-PEG-抗逆性基团
涉及到品牌:
DBCO-PEG-PLA 二苯并环辛炔-聚乙二醇-聚乳酸
DBCO-PEG-PAA 二苯并环辛炔-聚乙二醇-聚丙烯酸酯
DBCO-PEG-Polystyrene 二苯并环辛炔-聚乙二醇-聚丙乙稀
DBCO-PEG-PEI 二苯并环辛炔-聚乙二醇-聚乙稀亚胺
DBCO-PEG-PAMAM 二苯并环辛炔-聚乙二醇-枯树枝状丙烯酸树脂
DBCO-PEG-PNIPAAm 二苯并环辛炔-聚乙二醇-聚N-异丙基丙烯酰胺
DBCO-PEG-PtBA 二苯并环辛炔-聚乙二醇-聚丙稀酸叔丁酯
DBCO-PEG-PMMA 二苯并环辛炔-聚乙二醇-聚甲基亚克力 甲酯
DBCO-PEG-P4VP 二苯并环辛炔-聚乙二醇-聚4-乙稀基吡啶
DBCO-PEG-P2VP 二苯并环辛炔-聚乙二醇-聚2-丁二烯基吡啶
舒心警告:方便赚取成品选用结果,建筑材料应总是在干处理前提条件下增加冷藏,防范不时解封和冻结银行卡。为保障成品的安全性,请还要注意在恒温器干处理后来就要使用包装方式取出!
幸福表明:仅在科研课题!!!


pg电子娱乐游戏app
微信公众号
官方微信