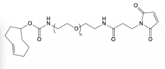
TCO-PEG-MAL 马来酰亚胺-聚乙二醇-反式环辛烯 马来酰亚胺PEG点击化学
反式环辛烯(TCO)做亲双烯体与S-四嗪(Tetrazine)在内分泌系统前提条件下的生理生理反应是不是需促使剂、生理生理反应速率单位快的优势:,被广泛的用于动物和资料学科的探讨中。软件简称 TCO-PEG-MAL 马来酰亚胺-聚乙二醇-反式环辛烯简体中文品牌 马来酰亚胺-聚乙二醇-反式环辛烯日文公司名称 TCO-PEG-MAL碳原子量 1000储存條件 -20°急冻,干保护保管用时 三年



pg电子娱乐游戏app
微信公众号
官方微信