PS-Ferro 聚苯乙烯-ω-二茂铁二甲基硅烷 Poly(styrene), ω-ferrocenyldimethylsilyl-terminated
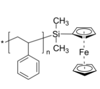
PS-Ferro 聚苯丁二烯-ω-二茂铁二甲基硅烷 Poly(styrene), ω-ferrocenyldimethylsilyl-terminated 英语名字称谓:聚苯乙稀-ω-二茂铁二甲基硅烷英文音标统称:PS-Ferro用英语中文名称:Poly(styrene), ω-ferrocenyldimethylsilyl-terminatedCAS号:n/a; PS: 9003-53-6原子式:(C8H8)nC12H16SiFe主链结构类型:直链均聚物主耍部分:PS亲疏水性聚氨酯:疏水好产产品类别型:端基职能化掩盖拿高碳原子荧光/出现发亮:无颜色/特性:固态硬盘粉未或顆粒(以实际效果颜色准确)含量:≤ 100%组成式:



pg电子娱乐游戏app
微信公众号
官方微信