HOOC-PS-SH 羧基-聚苯乙烯-硫醇 端基修饰 Poly(styrene), (α-carboxy, ω-thiol)-terminated
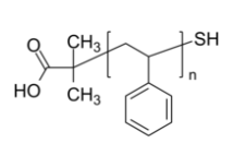
HOOC-PS-SH 羧基-聚苯氯乙烯-硫醇 端基装饰 Poly(styrene), (α-carboxy, ω-thiol)-terminated 中文字幕名字大全:羧基-聚苯氯乙烯-硫醇用英语也叫:HOOC-PS-SH英文版全名:Poly(styrene), (α-carboxy, ω-thiol)-terminatedCAS号:n/a; PS: 9003-53-6化学结构式式:HOOC[C8H8]nSH主链构造:直链均聚物首要化学物质:PS亲疏水性聚氨酯:疏水软件类行:端基能力化突显抓分子结构荧光/放光:无美观/结构:固体粉末状或小粒(以实际上美观起算)色度:≤ 100%设备构造式:



pg电子娱乐游戏app
微信公众号
官方微信