PDEHPV-PBd 聚(2,5-二[2'-乙基己氧基]-1,4-对苯撑乙烯)-聚(1,4-丁二烯) 导电二嵌段共聚物
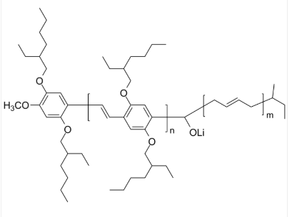
PDEHPV-PBd 聚(2,5-二[2'-乙基己氧基]-1,4-对苯撑乙稀)-聚(1,4-丁二烯) 导电二嵌段共聚物 中文字幕名字大全:聚(2,5-二[2'-乙基己氧基]-1,4-对苯撑乙稀)-聚(1,4-丁二烯)因为简称为:PDEHPV-PBd英文怎么说称怎么读:Poly(2,5-di[2'-ethylhexyloxy]-1,4-phenylenevinylene)-b-poly(1,4-butadiene)CAS号:n/a; PBd: 9003-17-2原子核式:C23H39O3(C24H38O3)n(C4H6)mC4H9主链节构:二嵌段共聚物常见组分:PDEHPV/PDEHPPV亲疏丙烯酸乳液:疏水设备种类:导电满原子荧光/荧光:无外部/特征:固体纳米银溶液或科粒(以现实的外部是以)溶解度:≤ 100%结构设计式:

![PDEHPV-PBd 聚(2,5-二[2'-乙基己氧基]-1,4-对苯撑乙烯)-聚(1,4-丁二烯) 导电二嵌段共聚物-UDP糖丨MOF丨金属有机框架丨聚集诱导发光丨荧光标记推荐西安pg电子娱乐游戏app
生物](/images/logo.png)

pg电子娱乐游戏app
微信公众号
官方微信