P3HT-PLA 聚(3-己基噻吩-2,5-二基)-聚丙交酯(聚乳酸) 导电+生物降解二嵌段共聚物 Poly(3-hexylthiophene-2,5-diyl)-b-poly(lactide)
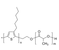
P3HT-PLA 聚(3-己基噻吩-2,5-二基)-聚丙交酯(聚乳酸) 导电+生物制品降解塑料二嵌段共聚物 Poly(3-hexylthiophene-2,5-diyl)-b-poly(lactide) 英文版品牌:聚(3-己基噻吩-2,5-二基)-聚乳酸英文音标全称:P3HT-PLA英语翻译简称:Poly(3-hexylthiophene-2,5-diyl)-b-poly(lactide)CAS号:n/a; P3HT: 156074-98-5; Poly(L-lactide): 26161-42-2; Poly(D-lactide): 106989-11-1分子结构式:(C10H14S)n(C3H4O2)m主链的结构:二嵌段共聚物关键含量:P3HT亲疏水性树脂:疏水產产品线型:导电低大分子荧光/亮光:无外装/姿态:固态硬盘安装粉末状或粒子(以实际的外装来算)含量:≤ 100%结构特征式:



pg电子娱乐游戏app
微信公众号
官方微信