P3HT-PCL 聚(3-己基噻吩-2,5-二基)-聚己内酯 导电+生物降解二嵌段共聚物 Poly(3-hexylthiophene-2,5-diyl)-b-poly(ε-caprolactone)
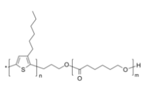
P3HT-PCL 聚(3-己基噻吩-2,5-二基)-聚己内酯 导电+生物制品吸附二嵌段共聚物 Poly(3-hexylthiophene-2,5-diyl)-b-poly(ε-caprolactone) 中文名字字名字:聚(3-己基噻吩-2,5-二基)-聚己内酯英文字母又称:P3HT-PCL日语全稱:Poly(3-hexylthiophene-2,5-diyl)-b-poly(ε-caprolactone)CAS号:n/a; P3HT: 156074-98-5; PCL: 24980-41-4大化学式:(C10H14S)n(C6H10O2)m主链格局:二嵌段共聚物注意组成成分:P3HT亲疏丙烯酸乳液:疏水食种的类型:导电涨原子核荧光/会亮:无金属机身/基本特征:固态硬盘金属粉或颗粒肥料(以现场金属机身应写)溶解度:≤ 100%结构类型式:



pg电子娱乐游戏app
微信公众号
官方微信