PEG-PHEMA | PEO-PHEMA 聚乙二醇-聚甲基丙烯酸羟基乙酯 两亲性二嵌段共聚物
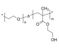
PEG-PHEMA | PEO-PHEMA 聚乙二醇-聚甲基丙稀酸羟基乙酯 两亲性二嵌段共聚物中文名字字名字:聚环氧树脂乙烷-聚甲基丙稀酸羟基乙酯英文怎么说简称为:PEO-PHEMA | PEG-PHEMA英语中文名称:Poly(ethylene oxide)-b-poly(2-hydroxyethyl methacrylate)CAS号:n/a; PEO: 25322-68-3; PHEMA: 25249-16-5大化学式:[C2H4O]n [C6H10O3]m主链组成部分:二嵌段共聚物通常基本成分:PHEMA亲疏丙烯酸乳液:亲水厂商品型:长规好成绩子荧光/发亮:无看/状态:固态硬盘安装粉未或粒状(以实际上的看起算)色度:≤ 100%组成部分式:



pg电子娱乐游戏app
微信公众号
官方微信