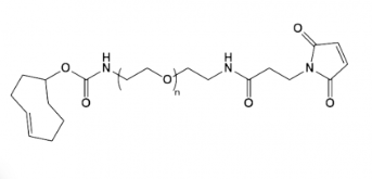
点击化学试剂TCO-PEG-MAL 马来酰亚胺-聚乙二醇-反式环辛烯 TCO-PEG-马来酰亚胺
反式环辛烯(TCO)对于亲双烯体与S-四嗪(Tetrazine)在人体生理状况下的体现可有需崔化剂、体现浓度快的优势,被非常领域的应用于海洋生物和村料科学有效的探讨中。
产品名称 TCO-PEG-MAL 马来酰亚胺-聚乙二醇-反式环辛烯
中文名称 马来酰亚胺-聚乙二醇-反式环辛烯
英文名称 TCO-PEG-MAL
分子量 2000
存储条件 -20°冷冻,干燥保存
保存时间 一年
其它分子量 1000 3400 5000 10000



pg电子娱乐游戏app
微信公众号
官方微信