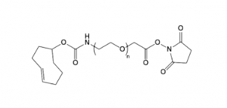
TCO-PEG-NHS 反式环辛烯聚乙二醇活性酯 TCO-PEG-活性酯的参数信息
反式环辛烯(TCO)充当亲双烯体与S-四嗪(Tetrazine)在生理特点水平下的生理现象有何需崔化剂、生理现象带宽快的的特点,被常见应用领域于怪物和资料小学科学的调查中。
产品名称 TCO-PEG-NHS 反式环辛烯聚乙二醇活性酯
中文名称 反式环辛烯聚乙二醇活性酯
英文名称 TCO-PEG-NHS
分子量 2000
存储条件 -20°冷冻,干燥保存
保存时间 一年
其它分子量 1000 3400 5000 10000



pg电子娱乐游戏app
微信公众号
官方微信