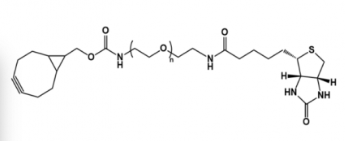
BCN-PEG-Biotin 环丙烷环辛炔-聚乙二醇-生物素 点击化学PEG生物素
双环[6,1,0]壬炔 (BCN) (环丙烷环辛炔)不错能够无铜的双击无机化学与叠氮化物记号的原子或生态学原子响应形成增强的三氮唑接触。
产品名称 BCN-PEG-Biotin 环丙烷环辛炔聚乙二醇生物素
目录号 341402
中文名称 环丙烷环辛炔聚乙二醇生物素
英文名称 BCN-PEG-Biotin
分子量 2000
CAS N/A
溶解度 DMSO,CHCl3,甲醇
存储条件 -20°冷冻
保存时间 一年
其它分子量 1000 3400 5000 10000



pg电子娱乐游戏app
微信公众号
官方微信