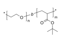
PEO-PtBuA | PEG-PtBuA 聚乙二醇-聚丙烯酸叔丁酯 两亲性二嵌段共聚物 Poly(ethylene oxide)-b-poly(tert-butyl acrylate)
PEO-PtBuA | PEG-PtBuA 聚乙二醇-聚丙稀酸叔丁酯 两亲性二嵌段共聚物 Poly(ethylene oxide)-b-poly(tert-butyl acrylate) 汉语名字大全:聚环氧防锈漆乙烷-聚丙稀酸叔丁酯用英语俗称:PEO-PtBuA | PEG-PtBuA用英语被称为:Poly(ethylene oxide)-b-poly(tert-butyl acrylate)英文怎么说別称:Poly(ethylene oxide-block-tert-butyl acrylate); Poly(ethylene glycol-block-t-butyl acrylate)CAS号:n/a; PEO: 25322-68-3; PtBuA: 25232-27-3团伙式:[C2H4O]n[C7H12O2]m主链架构:二嵌段共聚物具体成分表:PtBuA亲疏丙烯酸乳液:两亲性产品设备结构类型:正常涨分子结构荧光/出现发亮:无表面/结构:固态硬盘安装粉末状原材料或粉末(以实际上的表面为基准)含量:≤ 100%成分式:



pg电子娱乐游戏app
微信公众号
官方微信