PDMAEMAQ-PDHF-PDMAEMAQ 聚甲基丙烯酸碘化三甲氨基乙酯-聚(9,9-n-二己基-2,7-芴)-聚甲基丙烯酸碘化三甲氨基乙酯 导电ABA三嵌段共聚物
PDMAEMAQ-PDHF-PDMAEMAQ 聚甲基丙烯酸碘化三甲氨基乙酯-聚(9,9-n-二己基-2,7-芴)-聚甲基丙烯酸碘化三甲氨基乙酯 导电ABA三嵌段共聚物
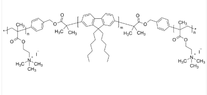
简体中文简称:聚甲基亚克力 碘化三级甲等医院胺基乙酯-聚(9,9-n-二己基-2,7-芴)-聚甲基亚克力 碘化三级甲等医院胺基乙酯英文字母又称:PDMAEMAQ-PDHF-PDMAEMAQ国外英文英文名称:Poly(trimethylamonium iodide ethyl methacrylate)-b-poly(9,9-n-dihexyl-2,7-fluorene)-b-poly(trimethylamonium iodide ethyl methacrylate)国外英文学名:Poly(N,N-dimethylaminoethyl methacrylate, quaternized with methyl iodide)-block-poly(9,9-n-dihexyl-2,7-fluorene)-block-poly(N,N-dimethylaminoethyl methacrylate, quaternized with methyl iodide)CAS号:n/a; PDHF: 201807-75-2; PEMA: 9003-42-3碳原子式:[C9H18O2NI]n [C25H32]m [C9H18O2NI]n主链结构设计:ABA三嵌段共聚物主要是材料:PDHF亲疏水性聚氨酯:两亲性厂产品线型:导电抓碳原子荧光/会发光:无的外形/行态:固态硬盘粉化或科粒(以合理的外形准确)饱和度:≤ 100%架构式:

不同的用途:科研工作企业品牌:pg电子娱乐游戏app
生物工程封装: 罐装產地:西安市销售商:绵阳pg电子娱乐游戏app
生物体科技创新有限司英文司和谐警示语信息:仅广泛用于科学!绵阳pg电子娱乐游戏app
微生物社会有限责任装修子公司是在中国的好成绩子整合物整合产家,我装修子公司都可以作为多种区别的整合物的嵌段共聚物,有均聚物,嵌段共聚物,星形整合物等,整合物例如有PEG、PLGA、PLA、PCL、PS、PLL,PtBA,PMMA,PAA,P4VP,P2VP,PNIPAAm,PEI、甚至某个基团又或者多肽整合物,那个种类多,可作为订做贴心服务。也作为根据那些共聚物呈现核蛋白,多肽,蛋白质,荧光呈现等订做整合。有关系软件:PVBA/P4VBAPVA-PMMAPVAc-RAFTPVAc-PVA-PVAcPVAc-PSPVAc-PMMAPVAcAAranPVACPVAAAranPVAPU/dMDI-ADA-BDLPTO2PTMSP