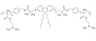
PDMAEMA-PDHF-PDMAEMA 聚甲基丙烯酸二甲氨基乙酯-聚(9,9-n-二己基-2,7-芴)-聚甲基丙烯酸二甲氨基乙酯 导电ABA三嵌段共聚物
PDMAEMA-PDHF-PDMAEMA 聚甲基亚克力二甲氨基乙酯-聚(9,9-n-二己基-2,7-芴)-聚甲基亚克力二甲氨基乙酯 导电ABA三嵌段共聚物 中文字幕公司名称:聚甲基亚克力二甲胺基乙酯-聚(9,9-n-二己基-2,7-芴)-聚甲基亚克力二甲胺基乙酯用英文怎么说全称:PDMAEMA-PDHF-PDMAEMA英语翻译全名:Poly(N,N-dimethylamino ethyl methacrylate)-b-poly(9,9-n-dihexyl-2,7-fluorene)-b-poly(N,N-dimethylamino ethyl methacrylate)日语别号:Poly(N,N-dimethylaminoethyl methacrylate-block-9,9-n-dihexyl-2,7-fluorene-block-N,N-dimethylaminoethyl methacrylate)CAS号:n/a; PDHF: 201807-75-2; PEMA: 9003-42-3氧分子结构:[C8H15O2N]n [C25H32]m [C8H15O2N]n主链形式:ABA三嵌段共聚物其主要有效成分:PDHF亲疏水性树脂:两亲性软件的类型:导电100原子核荧光/有光:无外形/底部形态:固体粉丝或顆粒(以实计外形应写)纯净度:≤ 100%成分式:



pg电子娱乐游戏app
微信公众号
官方微信