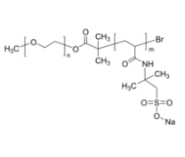
PEO-PAMPSNa | PEG-PAMPSNa 聚乙二醇-聚(2-丙烯酰胺基-2-甲基丙烷磺酸钠) 两亲性二嵌段聚合物盐
PEO-PAMPSNa | PEG-PAMPSNa 聚乙二醇-聚(2-丙烯酰胺基-2-甲基丙烷磺酸钠) 两亲性二嵌段整合物盐 英语名字分类:聚改性环氧树脂乙烷-聚(2-丙烯酰胺基-2-甲基丙烷磺酸钠)英文翻译通称:PEO-PAMPSNa | PEG-PAMPSNa英文翻译全稱:Poly(ethylene oxide)-b-poly(2-acrylamido-2-methylpropanesulfonic acid sodium salt)日文俗名:Poly(ethylene glycol)-b-poly(sodium 2-acrylamido-2-methyl-propanesulfonate)CAS号:n/a; PEO: 25322-68-3; PAMPS: 27119-07-9原子式:(C2H4O)n(C7H12NaNO4S)m主链设计:二嵌段共聚物其主要部分:PAMPS亲疏水:两亲性的产分类行:高分子物盐荧光/会亮:无外表/形状:固态硬盘安装碎末或颗粒肥料(以事实上外表起算)纯净度:≤ 100%格局式:



pg电子娱乐游戏app
微信公众号
官方微信