PEO-PAMPS | PEG-PAMPS 聚乙二醇-聚(2-丙烯酰胺基-2-甲基丙烷磺酸) 两亲性二嵌段共聚物
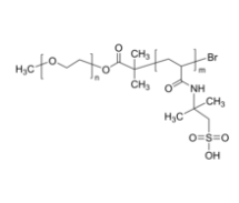
PEO-PAMPS | PEG-PAMPS 聚乙二醇-聚(2-丙烯酰胺基-2-甲基丙烷磺酸) 两亲性二嵌段共聚物 繁体中文名字字:聚氯化橡胶漆乙烷-聚(2-丙烯酰胺基-2-甲基丙烷磺酸)因为缩写英文:PEO-PAMPS | PEG-PAMPS英文音标称怎么读:Poly(ethylene oxide)-b-poly(2-acrylamido-2-methylpropane sulfonic acid)CAS号:n/a; PEO: 25322-68-3; PAMPS: 27119-07-9碳原子式:[C2H4O]n[C7H13NO4S]m主链的结构:二嵌段共聚物具体含量:PAMPS亲疏水性聚氨酯:两亲性物项目型:端基实用功能化绘制好的成绩子荧光/有光:无油漆颜色/价值形式:固态硬盘安装咖啡豆或颗粒物(以实践油漆颜色是以)色度:≤ 100%组成式:



pg电子娱乐游戏app
微信公众号
官方微信