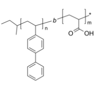
PVBP-PAA 聚(4-乙烯基联苯)-聚丙烯酸 两亲性二嵌段共聚物 Poly(4-vinyl biphenyl)-b-poly(acrylic acid)
PVBP-PAA 聚(4-丁二烯基联苯)-聚亚克力 两亲性二嵌段共聚物 Poly(4-vinyl biphenyl)-b-poly(acrylic acid) 简体中文称谓:聚(4-丁二烯基联苯)-聚亚克力英语翻译统称:PVBP-PAA英文怎么说英文名称:Poly(4-vinyl biphenyl)-b-poly(acrylic acid)CAS号:n/a; PAA: 9003-01-4; PVBP: 25232-08-0碳原子式:(C14H12)n (C3H4O2)m主链形式:二嵌段共聚物重要材料:PAA亲疏水性聚氨酯:两亲性护肤产品线型:烷基封端最高原子荧光/夜光:无颜色/价值形式:固态硬盘粉尘或粒子(以预期颜色算起)饱和度:≤ 100%
结构式:



pg电子娱乐游戏app
微信公众号
官方微信