PSSA-PEO | PSSO3H-PEG 聚(4-苯乙烯磺酸)-聚乙二醇 两亲性二嵌段共聚物 Poly(4-styrene sulfonic acid)-b-poly(ethylene oxide)
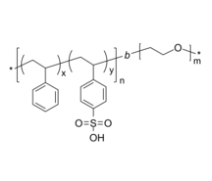
PSSA-PEO | PSSO3H-PEG 聚(4-苯丁二烯磺酸)-聚乙二醇 两亲性二嵌段共聚物 Poly(4-styrene sulfonic acid)-b-poly(ethylene oxide) 中文版各称:聚(4-苯丁二烯磺酸)-聚丙稀酸乙烷因为缩写:PSSA-PEO英文翻译全程:Poly(4-styrene sulfonic acid)-b-poly(ethylene oxide)英文音标别号:Poly(styrene-co-4-styrene sulfonic acid)-b-poly(ethylene oxide)CAS号:n/a; PS: 9003-53-6; PEO: 25322-68-3; PSSA: 28210-41-5氧化学式:([C8H8]x[C8H8O3S]y)n(C2H4O)m主链节构:二嵌段共聚物最主要组分:PSSO3H/PSSA亲疏丙烯酸乳液:两亲性商项目型:日常提分子结构荧光/发亮:无美观/行态:固体粉化或科粒(以实际上美观起算)溶解度:≤ 100%结构类型式:



pg电子娱乐游戏app
微信公众号
官方微信