PS-PSSO3H 聚苯乙烯-聚(4-苯乙烯磺酸) 两亲性二嵌段共聚物 定制合成 Poly(styrene)-b-poly(4-styrene sulfonic acid)
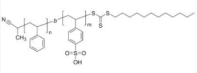
PS-PSSO3H 聚苯氯乙稀-聚(4-苯氯乙稀磺酸) 两亲性二嵌段共聚物 环保定制家具生成 Poly(styrene)-b-poly(4-styrene sulfonic acid) 繁体中文种类:聚苯氯氯乙烯-聚(4-苯氯氯乙烯磺酸)英语怎么说简称为:PS-PSSO3H用英文怎么说英文名称:Poly(styrene)-b-poly(4-styrene sulfonic acid)CAS号:n/a; PS: 9003-53-6; PSSO3H: 28210-41-5分子结构式:(C8H8)n(C8H8O3S)m主链成分:二嵌段共聚物基本化学物质:PSSO3H/PSSA亲疏丙烯酸乳液:两亲性软件类别:端基功效化遮盖比较高的分数子荧光/带光:无看/结构:固体粉未或颗粒物(以预期看为界)饱和度:≤ 100%结构特征式:



pg电子娱乐游戏app
微信公众号
官方微信