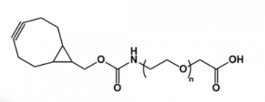
双环[6,1,0]壬炔 (BCN) (环丙烷环辛炔)可以通过无铜的点击化学与叠氮化物标记的分子或生物分子反应生成稳定的三氮唑连接。
的产商品编码称 BCN-PEG-COOH 环丙烷环辛炔聚乙二醇羧基的目录号 341201中文版称谓 环丙烷环辛炔聚乙二醇羧基国外英文称谓 BCN-PEG-COOH分子式量 1000CAS N/A溶化度 DMSO,CHCl3,甲醇储备水平 -20°冷冻冰箱维持期限 整年别的原子核量 2000 3400 5000 10000

陕西pg电子娱乐游戏app
生物体会出示:1:平时基团 NH2/MAL/COOH-PEG-荧光基团/球蛋白/满氧团伙缔合物/磷脂/小氧团伙/蛋白质2:荧光基团FITC/RB/CY3/CY5-PEG-多肽/血清/100大分子式/小大分子式/糖/缔合物3:靶向疗法原子核 Folate//RGD/Chol/Dextran-PEG-正规抗逆性基团/小原子核/蛋白质/缔合物4:汇聚物类PCL/PLGA/PLA/PEI/PAMAM-PEG-一般亲水性基团/*规亲水性基团/荧光基团/小分子结构5:核苷酸类PLL/PGA/PASP/His-PEG-常规化活性氧基团/糖元/整合物/蛋白质6:双硫键服务 DSPE-SS-PEG-化学活化基团 有关的企业产品:生物体素聚乙二醇二苯基环辛炔 Biotin-PEG-DBCOmPEG-BCNendo BCN-O-PNB热量聚乙二醇二苯基环辛炔 CLS-PEG-DBCO炔基聚乙二醇叔丁酯 Alkyne-PEG-COOtBu二二苯基环辛炔聚乙二醇 DBCO-PEG-DBCO八臂聚乙二醇二苯基环辛炔 8ARM-PEG-DBCOCAS:1255942-06-3 DBCO-Amine DBCO-NH2Methyltetrazine-PEG4-COOH 甲基四嗪-四乙二醇-羧基endo BCN-PEG3-NH2制造厂:昆明pg电子娱乐游戏app
生物学科学有效大公司存贮时刻:3年维持:冷冻暖心建议:仅作科学研究,不使用于人体肌肉实验所