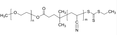
PEO-PACN | PEG-PACN 聚乙二醇-聚丙烯腈 两亲性二嵌段共聚物 Poly(ethylene oxide)-b-poly(acrylonitrile), by RAFT
PEO-PACN | PEG-PACN 聚乙二醇-聚丙乙烯腈 两亲性二嵌段共聚物 Poly(ethylene oxide)-b-poly(acrylonitrile), by RAFT 常常名称大全:聚乙二醇-聚炳烯腈英语俗称:PEG-PACN | PEO-PACN用英文怎么说总称:Poly(ethylene oxide)-b-poly(acrylonitrile), by RAFT日语别称:Poly(ethylene oxide-block-acrylonitrile); Poly(ethylene glycol-block-2-propenenitrile)CAS号:n/a; PEG: 25322-68-3; PACN: 25014-41-9碳原子式:CH3[C2H4O]n[C3H3N]mS3C3H5主链框架:二嵌段共聚物关键物质:PACN亲疏水性树脂:两亲性商不断研发创新型:端基作用化修饰语拿高碳原子荧光/带光:无油漆颜色/形态特征:固态硬盘安装粉未或粉末(以具体情况油漆颜色准确)溶解度:≤ 100%框架式:



pg电子娱乐游戏app
微信公众号
官方微信