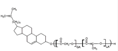
PLGA-cholesterol 聚乙丙交酯-胆固醇 生物降解高分子 Poly(lactide-co-glycolide)-cholesterol
PLGA-cholesterol 聚乙丙交酯-热量 生物技术吸附蒙题子 Poly(lactide-co-glycolide)-cholesterol 繁体中文明称:聚乙丙交酯-胆固醇升高英语怎么说英文缩写:PLGA-cholesterol日语中文名称:Poly(lactide-co-glycolide)-cholesterolCAS号:n/a; PLGA: 26780-50-7; Cholesterol: 57-88-5主链框架:直链共聚物基本基本成分:PLGA亲疏水性聚氨酯:疏水物产品类别型:菌物降解塑料涨碳原子荧光/发亮:无外表/行态:固体粉沫或颗粒物(以实践外表算起)空间化学式:



pg电子娱乐游戏app
微信公众号
官方微信