PDLA 聚D-乳酸 生物降解高分子 Poly(D-lactide) | Poly((D) Lactic acid)
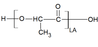
PDLA 聚D-乳酸 生态学可降解涨大分子 Poly(D-lactide) | Poly((D) Lactic acid) 中文翻译名称大全:聚D-乳酸英文字母简称英文:PDLA英语翻译称怎么读:Poly(D-lactide)英文怎么说俗称:Poly((D) Lactic acid)CAS号:Poly(D-lactide): 106989-11-1分子结构式:(C3H4O2)n主链格局:直链均聚物关键物质:PLA亲疏水性聚氨酯:疏水产品设备型号:生物制品化学降解满原子核荧光/会亮:无金属机身/社会形态:固态硬盘粉尘或粒状(以实计金属机身应写)架构式:



pg电子娱乐游戏app
微信公众号
官方微信