PS-PEtA-PS 聚苯乙烯-聚丙烯酸乙酯-聚苯乙烯 ABA三嵌段共聚物 Poly(styrene)-b-poly(ethyl acrylate)-b-poly(styrene) 定制合成
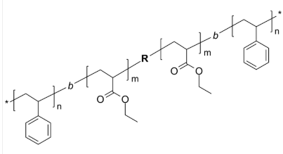
PS-PEtA-PS 聚苯丁二烯-聚亚克力乙酯-聚苯丁二烯 ABA三嵌段共聚物 Poly(styrene)-b-poly(ethyl acrylate)-b-poly(styrene) 定制网站制成 中文命名:聚苯乙稀-聚丙烯酸酯乙酯-聚苯乙稀英语怎么说简写:PS-PEtA-PS英语翻译全稱:Poly(styrene)-b-poly(ethyl acrylate)-b-poly(styrene)英文翻译俗称:Poly(styrene-block-ethyl acrylate-block-styrene)CAS号:n/a; PS: 9003-53-6; PEtA: 9003-32-1氧化学结构式:(C8H8)n (C5H8O2)m (C8H8)p主链组成:ABA三嵌段共聚物重点材质:PS亲疏水性树脂:疏水成类别型:规范蒙题子荧光/出现发亮:无的外觀/行态:固定粉状或小粒(以现实情况的外觀时以)纯净度:≤ 100%设计式:



pg电子娱乐游戏app
微信公众号
官方微信