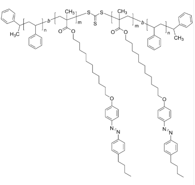
PS-PAzoMA-PS 聚苯乙烯-聚(11-[4-4(4'-丁基苯基偶氮)苯氧基]-甲基丙烯酸十一酯)-聚苯乙烯 ABA三嵌段共聚物
PS-PAzoMA-PS 聚苯氯丁二烯-聚(11-[4-4(4'-丁基苯基偶氮)苯氧基]-甲基亚克力 十一国庆酯)-聚苯氯丁二烯 ABA三嵌段共聚物 中文字幕公司名称:聚苯丁二烯-聚(11-[4-4(4'-丁基苯基偶氮)苯氧基]-甲基亚克力十一月酯)-聚苯丁二烯英语翻译又称:PS-PAzoMA-PS因为全程:Poly(styrene)-b-poly(11-[4-4(4'-butylphenylazo)phenoxy]-undecyl methacrylate)-b-poly(styrene)英文怎么说別称:Poly(styrene-block-11-[4-4(4'-butylphenylazo)phenoxy]-undecyl methacrylate-block-styrene), with carbonotrithioate unit in center of polymer chainCAS号:n/a; PS: 9003-53-6化学式式:[C8H8]n [C31H44N2O3]m(CS3)[C31H44N2O3]m [C8H8]n主链构造:ABA三嵌段共聚物主耍组成成分:PS亲疏丙烯酸乳液:疏水服务形式:烷基封端好成绩子荧光/会亮:无外装/状态:固态硬盘安装金属粉或颗粒物(以具体外装来算)纯净度:≤ 100%构成式:

![PS-PAzoMA-PS 聚苯乙烯-聚(11-[4-4(4'-丁基苯基偶氮)苯氧基]-甲基丙烯酸十一酯)-聚苯乙烯 ABA三嵌段共聚物-UDP糖丨MOF丨金属有机框架丨聚集诱导发光丨荧光标记推荐西安pg电子娱乐游戏app
生物](/images/logo.png)

pg电子娱乐游戏app
微信公众号
官方微信