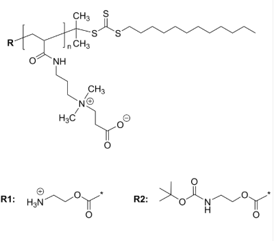
PCBAM/PCBAMD 聚(羧基甜菜碱丙烯酰胺) 两性离子聚合物 Poly(carboxybetaine acrylamide)
PCBAM/PCBAMD 聚(羧基甜菜碱丙烯酰胺) 两性之间阴阳离子聚合反应物 Poly(carboxybetaine acrylamide)中文名字字名字大全:两性之间阳离子聚(羧基甜菜碱丙烯酰胺)国外英文又称:PCBAM/PCBAMD英文怎么说英文名称:Poly(carboxybetaine acrylamide)英语又名:Dual-functional zwitterionic polymer prepared by RAFT.CAS号:n/a; PAM: 9003-05-8分子结构式:[C11H20N2O3]n主链型式:直链均聚物基本组成:PCBAM/PCBAMD/PCBMA亲疏水溶性:亲水物产品线型:两性关系阴离子配位混物荧光/夜光:无外型/价值形式:固体粉未或科粒(以实际上的外型为界)饱和度:≤ 100%成分式:



pg电子娱乐游戏app
微信公众号
官方微信