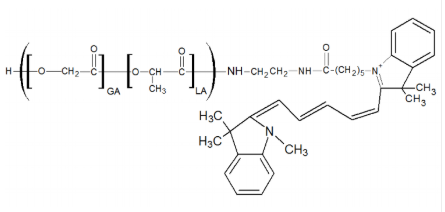
PLGA-CY5 聚乙丙交酯-荧光CY5 荧光标记生物降解高分子 Poly(lactide-co-glycolide)-Cyanine 5
PLGA-CY5 聚乙丙交酯-荧光CY5 荧光标识生物工程分解得原子核 Poly(lactide-co-glycolide)-Cyanine 5中文翻译称谓:聚乙丙交酯-荧光CY5日文简称为:PLGA-CY5英语全名是:Poly(lactide-co-glycolide)-Cyanine 5CAS号:n/a; PLGA: 26780-50-7主链架构:无规共聚物主耍营养成分:PLGA亲疏水溶性:疏水的产项目类别很多型:荧光标示好成绩子荧光/出现发亮:CY5颜色/型态:nvme固态金属粉或小粒(以具体情况颜色准确)构造式:



pg电子娱乐游戏app
微信公众号
官方微信