mPEG-PLA-FKI749 聚乙二醇-聚乳酸-荧光FKI749 荧光标记生物降解二嵌段共聚物
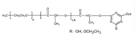
mPEG-PLA-FKI749 聚乙二醇-聚乳酸-荧光FKI749 荧光标记图片生物学溶解二嵌段共聚物2英文名字:聚乙二醇-聚乳酸-荧光FKI749国外英文统称:mPEG-PLA-FKI749日语全名是:Methoxy-Poly(ethylene glycol)-b-Poly(DL-lactide)-FKI749CAS号:n/a; PEG: 25322-68-3; Poly(L-lactide): 26161-42-2; Poly(D-lactide): 106989-11-1主链形式:二嵌段共聚物最主要的部分:PLA亲疏水性树脂:两亲性护肤分类:荧光标记图片抓大分子荧光/会发光:FKI749外貌专利/姿态:固体科粒或科粒(以实际上的外貌专利应写)框架式:



pg电子娱乐游戏app
微信公众号
官方微信