mPEG-PLGA-FKR560 聚乙二醇-聚乙丙交酯-荧光FKR560 荧光标记生物降解二嵌段共聚物
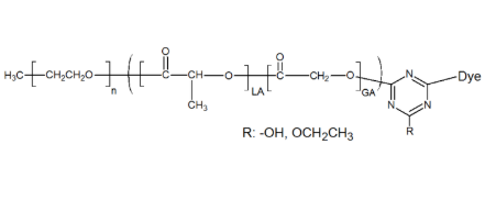
mPEG-PLGA-FKR560 聚乙二醇-聚乙丙交酯-荧光FKR560 荧光标示生物体溶解二嵌段共聚物 汉语标题:聚乙二醇-聚乙丙交酯-荧光FKR560日文简单来说就是:mPEG-PLGA-FKR560英语总称:Methoxy-Poly(ethylene glycol)-b-Poly(lactide-co-glycolide)-FKR560CAS号:n/a; PEG: 25322-68-3; PLGA: 26780-50-7主链格局:二嵌段共聚物重要有效成分:PLGA亲疏水性树脂:两亲性服务品类:荧光标记图片得团伙荧光/有光:FKR560外在/行态:固态硬盘金属粉或小粒(以其实外在应写)型式式:



pg电子娱乐游戏app
微信公众号
官方微信