PLGA-FL 聚乙丙交酯-荧光素 荧光标记生物降解高分子 Poly(lactide-co-glycolide)-Fluorescein
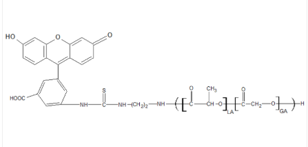
PLGA-FL 聚乙丙交酯-荧光素 荧光标签菌物吸附涨分子式 Poly(lactide-co-glycolide)-Fluorescein 英文版标题:聚乙丙交酯-荧光素英文字母英文缩写:PLGA-FL用英文怎么说中文名称:Poly(lactide-co-glycolide)-FluoresceinCAS号:n/a; PLGA: 26780-50-7主链构造:无规共聚物主要的化学成分:PLGA亲疏水:疏水服务类:荧光标签提分子结构荧光/有光:FITC外部/形式:nvme固态粉未或粒子(以实际效果外部是以)设备构造式:



pg电子娱乐游戏app
微信公众号
官方微信