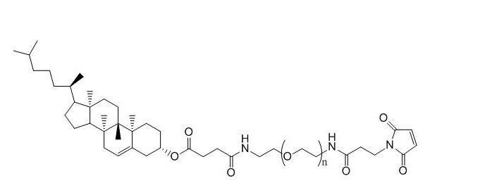
MAL-PEG-胆固醇
基础资料:中文翻译名字大全:蛋白质-聚乙二醇-马来酰亚胺 (Cholesterol-PEG-MAL)学名:Cholesterol-PEG-Maleimide英文怎么说名字:Cholesterol-PEG-Maleimide,Cholesterol-PEG-MAL分子式量:400、600、1K、2K、3.4K、4K、5K、10K溶解度:95%超过
应用简介
pg电子娱乐游戏app
生物体的胆固醇升高PEG马来酰亚胺(Cholesterol-PEG-MAL)能够用作淡化语球氨基酸、多肽以其其他的资料还有小原子。马来酰亚胺(MAL)与巯基(-SH)在PH6.5-7.5很更容易确立安全性的硫醚键。PEG淡化语可增加溶解出来度和安全性性,变少球氨基酸和肽的免疫力原性。它也能够**导电原子在淡化语外壁的非特男人紧密联系。低密度胆固醇(CLS):可以使用于使脂质体,以上升二极管封装口服药物的循环系统日期。二者也可以使用于非艾滋病毒转染化学药品。享有水可溶和脂可溶。初中物理性化质:的状态:夜体一些液态。溶解度性:溶水DMSO,DMF,DCM,水。稳定的条件:-20℃长期的存储,闭光,烘干。小心地方:提取相应要缺水,以免频烦的可溶性高,溶于水的和冻干制造商:成都pg电子娱乐游戏app
生物工程现代科技非常技术种类:科技研究的状态:固态/粉丝/悬浊液产自:宝鸡永久保存事件:2年存储:保鲜存贮必要条件:-20℃溫馨信息提示:未经许可教学科研,不可用来人体内试验想关产品的:SH-PEG3400-NH2 PDLLA-PEG-PDLLA,41+-2度PEG2k-b-(PMMA 80%-co-P4VP 20%)15kPEG2k-PMMA15kNH2-PEG3400-PDLLA5000DMPE-PEG2000DSPE-PEG1000-NH2DSPE-PEG3400-BiotinDSPE-PEG-Cy5,MW:2000Glucose-PEG2000-NH2Glucose-PEG2000-DBCOPLGA20K-b-mPEG2K