PCL-PEO-PCL | PCL-PEG-PCL 聚己内酯-聚乙二醇-聚己内酯 生物降解ABA三嵌段共聚物
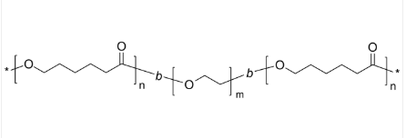
PCL-PEO-PCL | PCL-PEG-PCL 聚己内酯-聚乙二醇-聚己内酯 生态学挥发ABA三嵌段共聚物 中文名品牌:聚(ε-己内酯)-聚树脂乙烷-聚(ε-己内酯) | 聚己内酯-聚乙二醇-聚己内酯日文缩写英文:PCL-PEO-PCL | PCL-PEG-PCL英文字母它的全称:Poly(ε-caprolactone)-b-Poly(ethylene oxide)-b-Poly(ε-caprolactone)CAS号:n/a; PCL: 24980-41-4; PEO: 25322-68-3团伙式:(C6H10O2)n (C2H4O)m (C6H10O2)p主链组成:ABA三嵌段共聚物其主要材质:PCL亲疏水性聚氨酯:两亲性软件类别:生物技术化学降解100原子荧光/出现发亮:无外部/形式:固体粉化或小粒(以实际的外部为界)色度:≤ 100%型式式:



pg电子娱乐游戏app
微信公众号
官方微信