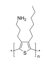
P3HT2PrA 聚([3-己基-4-丙胺]-噻吩-2,5-二基) 导电高分子 Poly([3-hexyl-4-propylamine]-thiophene-2,5-diyl)
P3HT2PrA 聚([3-己基-4-丙胺]-噻吩-2,5-二基) 导电高分数子 Poly([3-hexyl-4-propylamine]-thiophene-2,5-diyl) 简体中文分类:聚([3-己基-4-丙胺]-噻吩-2,5-二基)英语翻译简单来说就是:P3HT2PrA英文音标全稱:Poly([3-hexyl-4-propylamine]-thiophene-2,5-diyl)CAS号:n/a氧化学式:[C13H21NS]n主链结构特征:直链均聚物最主要的营养成分:P3HT亲疏水性树脂:疏水品牌类行:导电100氧分子荧光/闪光:无颜色/形式:固定粉尘或粒状(以具体颜色起算)纯净度:≤ 100%机构式:

![P3HT2PrA 聚([3-己基-4-丙胺]-噻吩-2,5-二基) 导电高分子 Poly([3-hexyl-4-propylamine]-thiophene-2,5-diyl)-UDP糖丨MOF丨金属有机框架丨聚集诱导发光丨荧光标记推荐西安pg电子娱乐游戏app
生物](/images/logo.png)

pg电子娱乐游戏app
微信公众号
官方微信