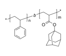
PS-PADMA 聚苯乙烯-聚(1-金刚烷基丙烯酸酯) 二嵌段共聚物 Poly(styrene)-b-Poly(1-adamantyl acrylate)
PS-PADMA 聚苯氯乙烯-聚(1-金刚烷基亚克力酯) 二嵌段共聚物 Poly(styrene)-b-Poly(1-adamantyl acrylate) 中文翻译简称:聚苯丁二烯-聚(1-金刚烷基水性聚氨酯酯)
英文简称:


pg电子娱乐游戏app
微信公众号
官方微信