四嗪常用于有很多生态学显像和生态学共轭软件软件应用的生态学正交反馈。现被密切软件软件应用于血清质某位点技能阐明、亚癌细胞空间结构抑制性符号、药品靶向治疗传递数据、活体软体动物原子核影像学和生态学兼容性问题用料的制法等。
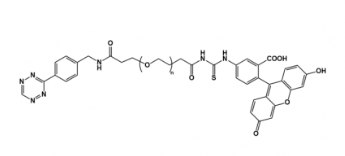
成产品名字称 Tetrazine-PEG-FITC 四嗪聚乙二醇荧光素
常常命名 四嗪聚乙二醇荧光素
英文字母明称 Tetrazine-PEG-FITC
原子量 400
CAS N/A
存贮條件 -20°冰冻,背光
另存用时 一年多
其他的原子量 600 1000 2000 3400 5000 10000

开发分解精准服务:
浙江pg电子娱乐游戏app 生物技术科学技术不足我司带来各个类型有难度的PEG并衍生物技术制作服务培训,荧光标识肽,各个类型特有dna,各个类型特有蛋白酶或氧分子,多肽掩盖PEG的偶联。
1. 能提供多种多样复杂的、比较特殊的PEG产品的环保定制家具;
2. 占有其全的PEG企业商品备库可给出好几千好几种企业商品各种类型;
3. 能提供很多官能团装饰,性能方面好,纯性好,设备原子核量200~40k;
4. 分娩加工制作工艺 减化,杂物低,高品质维持,转变成率溶解度多于95%;
PEG分子结构量可个人定制,1000,5000,3400,10000一系列
相关内容成品:
Tetrazine-PEG-Maleimide 四嗪-聚乙二醇-马来酰亚胺
羧基聚乙二醇二苯基环辛炔 COOH-PEG-DBCO
Tetrazine-PEG-COOH 四嗪-聚乙二醇-羧基
DHA聚乙二醇二苯基环辛炔 FA-PEG-DBCO
高密度脂蛋白聚乙二醇二苯基环辛炔 CLS-PEG-DBCO
磷脂聚乙二醇二苯基环辛炔 DSPE-PEG-DBCO
Tetrazine-PEG-DBCO 四嗪-聚乙二醇-二苯基环辛炔
二二苯基环辛炔聚乙二醇 DBCO-PEG-DBCO
Tetrazine-PEG-N3 四嗪聚乙二醇叠氮
DBCO-PEG-CY5
暖心警告:只为取得物品选用实际效果,建材应不断在吹干的经济条件下做到低溫,尽量不要习惯性化冻和银行卡冻结。为保障物品的相对安全稳定处理,那么要注意事项在温控吹干的后来这样才能浏览器打开封装选用!
暖心信息提示:仅应用在科研开发!!!
我司:渭南pg电子娱乐游戏app 微生物创新科技有局限我司


pg电子娱乐游戏app
微信公众号
官方微信