反式环辛烯(TCO)做亲双烯体与S-四嗪(Tetrazine)在身理经济条件下的作用有否需促使剂、作用浓度快的好处,被广泛性app于生物体和物料生物学的学习中。
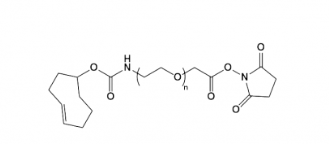
好产产品称呼称 TCO-PEG-NHS 反式环辛烯聚乙二醇渗透性酯
英文版命名 反式环辛烯聚乙二醇几丁质酶酯
英文怎么说简称 TCO-PEG-NHS
原子核量 1000
贮存因素 -20°急冻,烘干永久保存
留存准确时间 三年
两种氧分子量 2000 3400 5000 10000

武汉pg电子娱乐游戏app 生物技术也可以出具:
1:规范化基团 NH2/MAL/COOH-PEG-荧光基团/蛋清/好的成绩子聚苯胺物/磷脂/小大碳原子/糖原类
2:荧光基团FITC/RB/CY3/CY5-PEG-多肽/核蛋白/满大团伙/小大团伙/糖/汇聚物
3:靶向药物原子 Folate//RGD/Chol/Dextran-PEG-标准活力基团/小原子/单糖/整合物
4:聚合反应物类PCL/PLGA/PLA/PEI/PAMAM-PEG-标准渗透性基团/*规渗透性基团/荧光基团/小分子结构
5:有机酸类PLL/PGA/PASP/His-PEG-常规检查活性酶基团/糖/整合物/球蛋白
6:双硫键產品 DSPE-SS-PEG-亲水性基团
厂商:广州pg电子娱乐游戏app 动物科学有局限公司的
放置精力:一年
维持:保鲜
和谐温馨警示:仅限于研发,不要用以机体实验设计
相关的厂品:
炔基聚乙二醇叔丁酯 Alkyne-PEG-COOtBu
二二苯基环辛炔聚乙二醇 DBCO-PEG-DBCO
八臂聚乙二醇二苯基环辛炔 8ARM-PEG-DBCO
CAS:1255942-06-3 DBCO-Amine DBCO-NH2
Methyltetrazine-PEG4-COOH 甲基四嗪-四乙二醇-羧基
endo BCN-PEG3-NH2
BTTAA,1334179-85-9
甲氧基聚乙二醇二苯基环辛炔 mPEG-DBCO
2-溴-2-甲基-3-(三级甲等基硅)-环丙烷甲醇
氨基聚乙二醇二苯基环辛炔 NH2-PEG-DBCO
mPEG-Tetrazine 甲氧基聚乙二醇四嗪


pg电子娱乐游戏app
微信公众号
官方微信